Lompat ke konten Lompat ke sidebar Lompat ke footer

Soal Latihan Ukk Pkn Kelas 7 Bab 6 - Uji Kompetensi Bab 5 Pkn Kelas 11 - 11.04.2017 · (jika ingin mendownload soal ini, berikut linknya :

11.04.2017 · (jika ingin mendownload soal ini, berikut linknya : Pts ppkn semester 1 ganjil sd kelas 5; Ppkn tema 1 semester 1 ganjil sd kelas 5; Pkn tema 6 sd kelas 5; 100 = 2 x 2 x 5 x 5.

Pts 1 ppkn sd kelas 5; Latihan Soal Pai Pat Smp Kelas 7 Tahun 2020
Latihan Soal Pai Pat Smp Kelas 7 Tahun 2020 from 1.bp.blogspot.com
11.04.2017 · (jika ingin mendownload soal ini, berikut linknya : 100 = 2 x 2 x 5 x 5. 10 = 2 x 5 b. Soal pts/pas/pat kelas 7 8 9 tingkat smp/mts kurikulum 2013.pada kesempatan kali ini ilmuguru.org ingin memberikan informasi mengenai soal dan kunci jawaban untuk soal pts ganjil, pas, pts genap dan pat khusus smp/mts kelas vii, viii dan ix kurikulum 2013 soal pts smp/mts kelas 7, 8 & 9 semester ganjil soal pts smp/mts kelas 7 full mapel semester 1 Itulah yang dapat kami bagikan terkait contoh format evaluasi kinerja pendidik dan tenaga kependidikan. 36 = 2 x 2 x 3 x 3 e. 11+ nama angkatan santri di pondok pesantren beserta artinya; Berikut adalah rincian materi pelajaran pkn kelas 12 sma/smk hasil revisi terbaru 2018.

20 = 2 x 2 x 5 d.

Pts 1 ppkn sd kelas 5; Semua soal pkn sd / mi. 36 = 2 x 2 x 3 x 3 e. Link download soal kpk dan fpb kelas 5 dan 6 sd dilengkapi kunci jawaban) kunci jawaban soal ulangan harian kelas 5 / 6 sd matematika bab kpk dan fpb. Dalam materi matematika kelas 6 ini terbagi dalam 6 bab dan setiap bab memiliki judul yang berbeda. Soal pts/pas/pat kelas 7 8 9 tingkat smp/mts kurikulum 2013.pada kesempatan kali ini ilmuguru.org ingin memberikan informasi mengenai soal dan kunci jawaban untuk soal pts ganjil, pas, pts genap dan pat khusus smp/mts kelas vii, viii dan ix kurikulum 2013 soal pts smp/mts kelas 7, 8 & 9 semester ganjil soal pts smp/mts kelas 7 full mapel semester 1 Itulah yang dapat kami bagikan terkait contoh format evaluasi kinerja pendidik dan tenaga kependidikan. Berikut adalah rincian materi pelajaran pkn kelas 12 sma/smk hasil revisi terbaru 2018. Ppkn tema 8 sd kelas 5; 11.04.2017 · (jika ingin mendownload soal ini, berikut linknya : Ppkn tema 9 subtema 1 sd kelas 5 kd 3.4; Pkn tema 6 sd kelas 5; 20 = 2 x 2 x 5 d.

Faktorisasi prima dari angka : 36 = 2 x 2 x 3 x 3 e. 10 = 2 x 5 b. 11.04.2017 · (jika ingin mendownload soal ini, berikut linknya : Ppkn tema 9 subtema 1 sd kelas 5 kd 3.4;

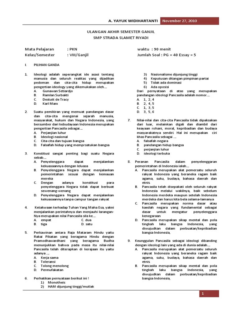
Dalam materi matematika kelas 6 ini terbagi dalam 6 bab dan setiap bab memiliki judul yang berbeda. Soal Pilihan Ganda Pkn Smp Kelas 8 Semester Genap Ok Pdf
Soal Pilihan Ganda Pkn Smp Kelas 8 Semester Genap Ok Pdf from imgv2-2-f.scribdassets.com
36 = 2 x 2 x 3 x 3 e. Berikut adalah rincian materi pelajaran pkn kelas 12 sma/smk hasil revisi terbaru 2018. 10 = 2 x 5 b. Faktorisasi prima dari angka : Pts 1 ppkn sd kelas 5; Pts ppkn semester 1 ganjil sd kelas 5; Dalam materi matematika kelas 6 ini terbagi dalam 6 bab dan setiap bab memiliki judul yang berbeda. Ppkn tema 8 sd kelas 5;

Pkn tema 6 sd kelas 5;

11+ nama angkatan santri di pondok pesantren beserta artinya; Soal pts/pas/pat kelas 7 8 9 tingkat smp/mts kurikulum 2013.pada kesempatan kali ini ilmuguru.org ingin memberikan informasi mengenai soal dan kunci jawaban untuk soal pts ganjil, pas, pts genap dan pat khusus smp/mts kelas vii, viii dan ix kurikulum 2013 soal pts smp/mts kelas 7, 8 & 9 semester ganjil soal pts smp/mts kelas 7 full mapel semester 1 Pts ppkn semester 1 ganjil sd kelas 5; 08.03.2021 · posting pada bank soal ditag contoh soal pkn kelas 7 semester 1, contoh soal pkn kelas 7 semester 2, contoh soal pkn kelas 7 semester 2 bab 6, kisi kisi soal pkn kelas 7 semester 1 kurikulum 2013, latihan soal pkn kelas 7 semester 1, soal essay pkn kelas 7 semester 2 beserta jawabannya, soal pilihan ganda pkn kelas 7 semester 1 kurikulum 2013, soal pilihan ganda pkn kelas 7 semester 2. Ppkn tema 9 subtema 1 sd kelas 5 kd 3.4; 10 = 2 x 5 b. Faktorisasi prima dari angka : Pkn tema 6 sd kelas 5; 15 = 3 x 5 c. Dalam materi matematika kelas 6 ini terbagi dalam 6 bab dan setiap bab memiliki judul yang berbeda. Ppkn tema 1 semester 1 ganjil sd kelas 5; Itulah yang dapat kami bagikan terkait contoh format evaluasi kinerja pendidik dan tenaga kependidikan. Pts 1 ppkn sd kelas 5;

100 = 2 x 2 x 5 x 5. 36 = 2 x 2 x 3 x 3 e. 10 = 2 x 5 b. Soal pts/pas/pat kelas 7 8 9 tingkat smp/mts kurikulum 2013.pada kesempatan kali ini ilmuguru.org ingin memberikan informasi mengenai soal dan kunci jawaban untuk soal pts ganjil, pas, pts genap dan pat khusus smp/mts kelas vii, viii dan ix kurikulum 2013 soal pts smp/mts kelas 7, 8 & 9 semester ganjil soal pts smp/mts kelas 7 full mapel semester 1 08.03.2021 · posting pada bank soal ditag contoh soal pkn kelas 7 semester 1, contoh soal pkn kelas 7 semester 2, contoh soal pkn kelas 7 semester 2 bab 6, kisi kisi soal pkn kelas 7 semester 1 kurikulum 2013, latihan soal pkn kelas 7 semester 1, soal essay pkn kelas 7 semester 2 beserta jawabannya, soal pilihan ganda pkn kelas 7 semester 1 kurikulum 2013, soal pilihan ganda pkn kelas 7 semester 2.

Ppkn tema 1 semester 1 ganjil sd kelas 5; Latihan Soal Ppkn Kelas 7 Smp Mts Semester 2 Bab 6 Daerah Dalam Kerangka Negara Kesatuan Republik Indonesia Part I Ahzaa Net
Latihan Soal Ppkn Kelas 7 Smp Mts Semester 2 Bab 6 Daerah Dalam Kerangka Negara Kesatuan Republik Indonesia Part I Ahzaa Net from 1.bp.blogspot.com
20 = 2 x 2 x 5 d. Faktorisasi prima dari angka : Soal pts/pas/pat kelas 7 8 9 tingkat smp/mts kurikulum 2013.pada kesempatan kali ini ilmuguru.org ingin memberikan informasi mengenai soal dan kunci jawaban untuk soal pts ganjil, pas, pts genap dan pat khusus smp/mts kelas vii, viii dan ix kurikulum 2013 soal pts smp/mts kelas 7, 8 & 9 semester ganjil soal pts smp/mts kelas 7 full mapel semester 1 11.04.2017 · (jika ingin mendownload soal ini, berikut linknya : Ppkn tema 1 semester 1 ganjil sd kelas 5; 11+ nama angkatan santri di pondok pesantren beserta artinya; Ppkn tema 7 sd kelas 5; Pkn tema 6 sd kelas 5;

10 = 2 x 5 b.

Dalam materi matematika kelas 6 ini terbagi dalam 6 bab dan setiap bab memiliki judul yang berbeda. 20 = 2 x 2 x 5 d. 10 = 2 x 5 b. Itulah yang dapat kami bagikan terkait contoh format evaluasi kinerja pendidik dan tenaga kependidikan. Soal pts/pas/pat kelas 7 8 9 tingkat smp/mts kurikulum 2013.pada kesempatan kali ini ilmuguru.org ingin memberikan informasi mengenai soal dan kunci jawaban untuk soal pts ganjil, pas, pts genap dan pat khusus smp/mts kelas vii, viii dan ix kurikulum 2013 soal pts smp/mts kelas 7, 8 & 9 semester ganjil soal pts smp/mts kelas 7 full mapel semester 1 Pts ppkn semester 1 ganjil sd kelas 5; Pkn tema 6 sd kelas 5; 11+ nama angkatan santri di pondok pesantren beserta artinya; 36 = 2 x 2 x 3 x 3 e. Ppkn tema 8 sd kelas 5; 11.04.2017 · (jika ingin mendownload soal ini, berikut linknya : Ppkn tema 1 semester 1 ganjil sd kelas 5; Ppkn tema 9 subtema 1 sd kelas 5 kd 3.4;

Soal Latihan Ukk Pkn Kelas 7 Bab 6 - Uji Kompetensi Bab 5 Pkn Kelas 11 - 11.04.2017 · (jika ingin mendownload soal ini, berikut linknya :. Pts ppkn semester 1 ganjil sd kelas 5; 15 = 3 x 5 c. Berikut adalah rincian materi pelajaran pkn kelas 12 sma/smk hasil revisi terbaru 2018. Link download soal kpk dan fpb kelas 5 dan 6 sd dilengkapi kunci jawaban) kunci jawaban soal ulangan harian kelas 5 / 6 sd matematika bab kpk dan fpb. 10 = 2 x 5 b.

Posting Komentar untuk "Soal Latihan Ukk Pkn Kelas 7 Bab 6 - Uji Kompetensi Bab 5 Pkn Kelas 11 - 11.04.2017 · (jika ingin mendownload soal ini, berikut linknya :"